Cyclodextrin 101

The Molecular Fiber Advantage: How Alpha-Cyclodextrin Supports Your Peptide Protocol
A science-driven look at how ALF's plant-based fiber works alongside the most popular peptide stacks — from Wolverine to GLOW and beyond. Why Peptide Users Should Care About Fiber If you're running a peptide protocol, you've probably spent hours dialing in your dosing, timing, and routine. But there's a foundational variable most people overlook entirely: the metabolic environment those peptides are landing in. Your body's response to any protocol depends on your inflammatory baseline, digestive efficiency, and hormonal signaling. And if you're taking peptides orally — like BPC-157, KPV, or... Read more...
Alpha-Cyclodextrin 101: How ALF is Wiring for the Modern Metabolism
Alpha-Cyclodextrin 101: How ALF is Wiring for the Modern Metabolism
On this page What is Alpha-cyclodextrin? How Alpha-Cyclodextrin Binds Dietary Fat (The “Fat Magnet”) Molecular Geometry vs. Human Digestion Selective Affinity (Filtering the “Bad” from the “Good”) The “Insulin-Sparing” Effect:... Read more...
Highly Branched Cyclodextrin vs. Alpha Cyclodextrin: Two Very Different Molecules
Many brands compare Highly Branched Cyclic Dextrin and Alpha Cyclodextrin as if they serve the same purpose, but they don’t. This article breaks down the perception, reality, and true functional roles of each molecule, and explains why alpha cyclodextrin is a powerhouse in beauty and formulation science while HBCD shines primarily in performance nutrition. Read more...
How to use Alpha Cyclodextrin
How to use Alpha Cyclodextrin
The basics of how to easily incorporate alpha cyclodextrin fiber supplement into your lifestyle. Read more...
Fiber 101 - Comprehensive Guide
Understanding the Types of Dietary Fiber The first thing to know: Fiber is not just one thing. Fiber is a diverse group of compounds that each behave differently in your body. Knowing which types of fiber you’re getting can help you optimize your digestion, metabolism, and personalize your gut health. Here’s a breakdown of the main fiber categories recognized by nutrition science, including the functional fibers used in ALF products. Soluble Fiber (aka Regular Fiber) Soluble fiber dissolves in water to form a gel-like substance. This slows down your digestion,... Read more...
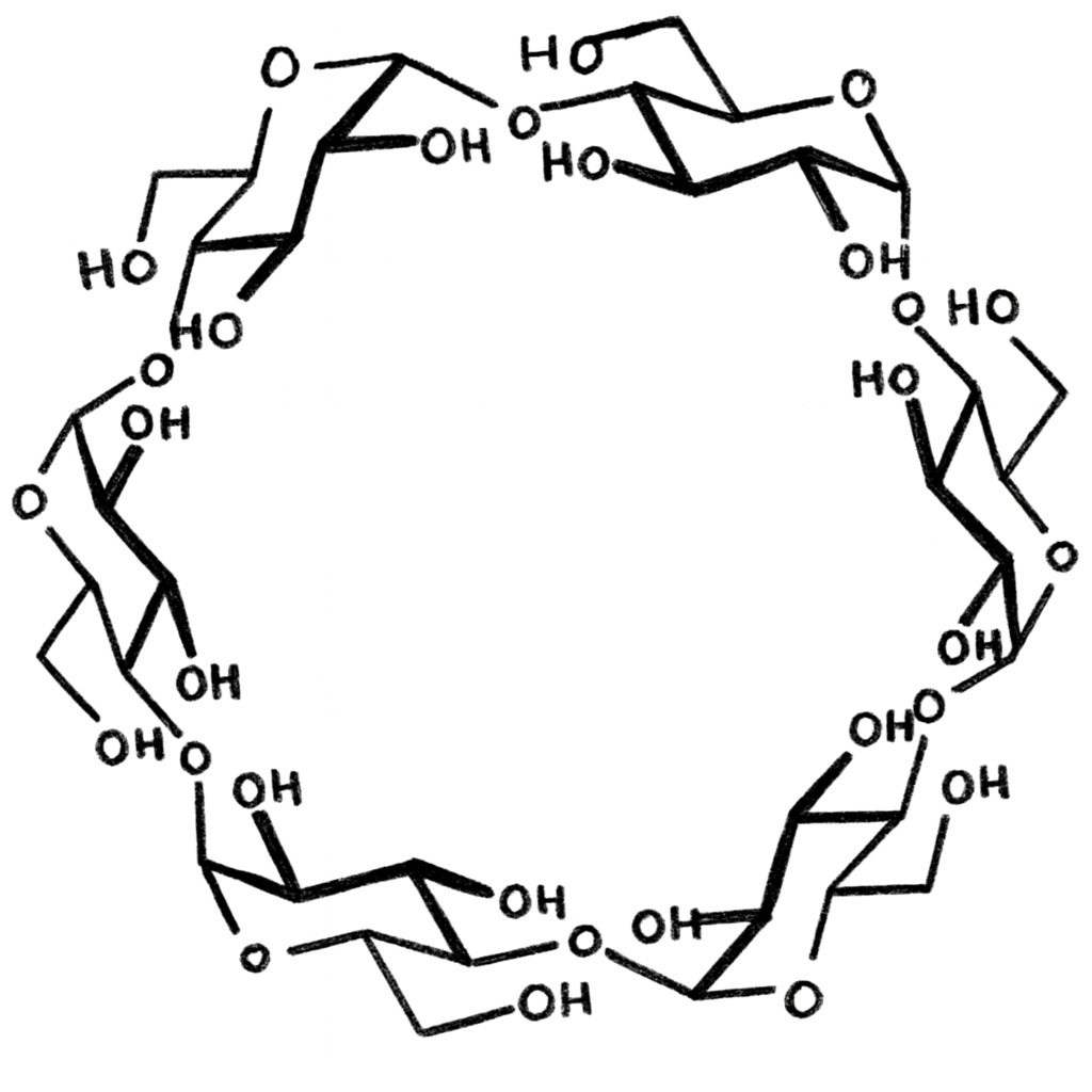
What is Cyclodextrin?
What is Cyclodextrin?
ALF Guide What is Cyclodextrin? Cyclodextrins are smart ring-shaped fibers made from glucose. Their hollow “cup” can hold oily guests, which is why α-cyclodextrin (ALF) is a standout for everyday... Read more...
What is Cyclodextrin? Cyclodextrin 101
What is Cyclodextrin? Cyclodextrin 101
An overview of cyclodextrin structures, functions, and benefits, including how alpha-cyclodextrin can help support digestion, cholesterol balance, and overall metabolic wellness. Read more...